| term | estimate | std.error | statistic | p.value |
|---|---|---|---|---|
| (Intercept) | -39.151 | 7.149 | -5.477 | 0.000 |
| speciesChinstrap | -1.870 | 0.580 | -3.221 | 0.001 |
| speciesGentoo | 0.512 | 0.843 | 0.607 | 0.544 |
| flipper_length_mm | 0.195 | 0.037 | 5.295 | 0.000 |
Nov 06, 2023
Lab this week: Work on project
Project draft due in your GitHub repo at 9am on
November 14 (Tuesday labs)
November 16 (Thursday labs)
Will do peer review in lab those days
Team Feedback #1 due Friday, November 10 at 11:5pm
Let’s take a look at one of the models from Lab 06 using flipper length and species to predict the odds a penguin is large (has a body mass above average).
| term | estimate | std.error | statistic | p.value |
|---|---|---|---|---|
| (Intercept) | -39.151 | 7.149 | -5.477 | 0.000 |
| speciesChinstrap | -1.870 | 0.580 | -3.221 | 0.001 |
| speciesGentoo | 0.512 | 0.843 | 0.607 | 0.544 |
| flipper_length_mm | 0.195 | 0.037 | 5.295 | 0.000 |
Interpret the coefficient of flipper_length_mm in terms of the odds a penguin is large.
Interpret the coefficient of speciesChinstrap in terms of the odds a penguin is large.
03:00
openintro::emailThese data represent incoming emails for the first three months of 2012 for an email account.
spam - Indicator for whether the email was spam.spam, to_multiple, from, cc, sent_email, time, image, attach, dollar, winner, inherit, viagra, password, num_char, line_breaks, format, re_subj, exclaim_subj, urgent_subj, exclaim_mess, number.Click here for more detailed information on the variables.
# Fix random numbers by setting the seed
# Enables analysis to be reproducible when random numbers are used
set.seed(1109)
# Put 75% of the data into the training set
email_split <- initial_split(email)
# Create data frames for the two sets
email_train <- training(email_split)
email_test <- testing(email_split)The sample is unbalanced with respect to spam.
Create a recipe for feature engineering steps to be applied to the training data
Fit the model to the training data after these steps have been applied
Using the model estimates from the training data, predict outcomes for the test data
Evaluate the performance of the model on the test data
# A tibble: 21 × 4
variable type role source
<chr> <list> <chr> <chr>
1 to_multiple <chr [3]> predictor original
2 from <chr [3]> predictor original
3 cc <chr [2]> predictor original
4 sent_email <chr [3]> predictor original
5 time <chr [1]> predictor original
6 image <chr [2]> predictor original
7 attach <chr [2]> predictor original
8 dollar <chr [2]> predictor original
9 winner <chr [3]> predictor original
10 inherit <chr [2]> predictor original
11 viagra <chr [2]> predictor original
12 password <chr [2]> predictor original
13 num_char <chr [2]> predictor original
14 line_breaks <chr [2]> predictor original
15 format <chr [3]> predictor original
16 re_subj <chr [3]> predictor original
17 exclaim_subj <chr [2]> predictor original
18 urgent_subj <chr [3]> predictor original
19 exclaim_mess <chr [2]> predictor original
20 number <chr [3]> predictor original
21 spam <chr [3]> outcome original
Variables that contain only a single value
Remember: Workflows bring together models and recipes so that they can be easily applied to both the training and test data.
══ Workflow ════════════════════════════════════════════════════════════════════
Preprocessor: Recipe
Model: logistic_reg()
── Preprocessor ────────────────────────────────────────────────────────────────
6 Recipe Steps
• step_rm()
• step_date()
• step_rm()
• step_cut()
• step_dummy()
• step_zv()
── Model ───────────────────────────────────────────────────────────────────────
Logistic Regression Model Specification (classification)
Computational engine: glm
# A tibble: 27 × 5
term estimate std.error statistic p.value
<chr> <dbl> <dbl> <dbl> <dbl>
1 (Intercept) -1.24 0.274 -4.51 6.43e- 6
2 image -1.36 0.679 -2.00 4.59e- 2
3 inherit 0.352 0.185 1.90 5.69e- 2
4 viagra 1.96 40.6 0.0482 9.62e- 1
5 password -0.941 0.387 -2.43 1.51e- 2
6 num_char 0.0572 0.0257 2.23 2.58e- 2
7 line_breaks -0.00554 0.00147 -3.77 1.66e- 4
8 exclaim_subj -0.245 0.303 -0.807 4.19e- 1
9 exclaim_mess 0.00916 0.00195 4.69 2.67e- 6
10 to_multiple_X1 -2.91 0.388 -7.50 6.37e-14
11 cc_X.1.68. -0.105 0.446 -0.236 8.14e- 1
12 attach_X.1.21. 2.33 0.385 6.06 1.37e- 9
13 dollar_X.1.64. 0.0136 0.241 0.0565 9.55e- 1
14 winner_yes 2.46 0.480 5.12 3.02e- 7
15 format_X1 -1.02 0.173 -5.88 4.07e- 9
16 re_subj_X1 -2.93 0.436 -6.72 1.81e-11
17 urgent_subj_X1 4.37 1.25 3.51 4.54e- 4
18 number_small -0.728 0.178 -4.08 4.45e- 5
19 number_big 0.261 0.255 1.03 3.05e- 1
20 time_dow_Mon 0.123 0.320 0.386 7.00e- 1
21 time_dow_Tue 0.309 0.294 1.05 2.94e- 1
22 time_dow_Wed -0.133 0.297 -0.447 6.55e- 1
23 time_dow_Thu 0.104 0.303 0.343 7.32e- 1
24 time_dow_Fri 0.280 0.292 0.960 3.37e- 1
25 time_dow_Sat 0.439 0.323 1.36 1.74e- 1
26 time_month_Feb 1.06 0.192 5.54 3.06e- 8
27 time_month_Mar 0.575 0.198 2.91 3.60e- 3
# A tibble: 981 × 23
.pred_0 .pred_1 spam to_multiple from cc sent_email time
<dbl> <dbl> <fct> <fct> <fct> <int> <fct> <dttm>
1 0.921 0.0786 0 0 1 0 0 2012-01-01 01:16:41
2 0.961 0.0391 0 0 1 0 0 2012-01-01 05:00:01
3 0.999 0.000988 0 0 1 1 1 2012-01-01 14:38:32
4 0.999 0.000591 0 0 1 1 1 2012-01-01 18:40:14
5 0.991 0.00878 0 0 1 0 0 2012-01-02 00:42:16
6 0.910 0.0902 0 0 1 0 0 2012-01-01 21:05:45
7 1.00 0.000108 0 1 1 3 0 2012-01-02 08:41:11
8 0.975 0.0248 0 0 1 0 0 2012-01-02 20:07:17
9 0.952 0.0477 0 0 1 0 0 2012-01-02 23:31:03
10 0.992 0.00819 0 1 1 0 0 2012-01-03 08:36:16
# ℹ 971 more rows
# ℹ 15 more variables: image <dbl>, attach <dbl>, dollar <dbl>, winner <fct>,
# inherit <dbl>, viagra <dbl>, password <dbl>, num_char <dbl>,
# line_breaks <int>, format <fct>, re_subj <fct>, exclaim_subj <dbl>,
# urgent_subj <fct>, exclaim_mess <dbl>, number <fct>
Which of the following 10 emails will be misclassified?
# A tibble: 10 × 3
.pred_0 .pred_1 spam
<dbl> <dbl> <fct>
1 0.0750 0.925 0
2 0.110 0.890 0
3 0.116 0.884 1
4 0.127 0.873 1
5 0.170 0.830 1
6 0.189 0.811 1
7 0.204 0.796 1
8 0.208 0.792 1
9 0.224 0.776 1
10 0.295 0.705 1
| Email is spam | Email is not spam | |
|---|---|---|
| Email classified as spam | True positive | False positive (Type 1 error) |
| Email classified as not spam | False negative (Type 2 error) | True negative |
= FN / (TP + FN)
= FP / (FP + TN)
| Email is spam | Email is not spam | |
|---|---|---|
| Email classified as spam | True positive | False positive (Type 1 error) |
| Email classified as not spam | False negative (Type 2 error) | True negative |
TP / (TP + FN)
TN / (FP + TN)
If you were designing a spam filter, would you want sensitivity and specificity to be high or low? What are the trade-offs associated with each decision?
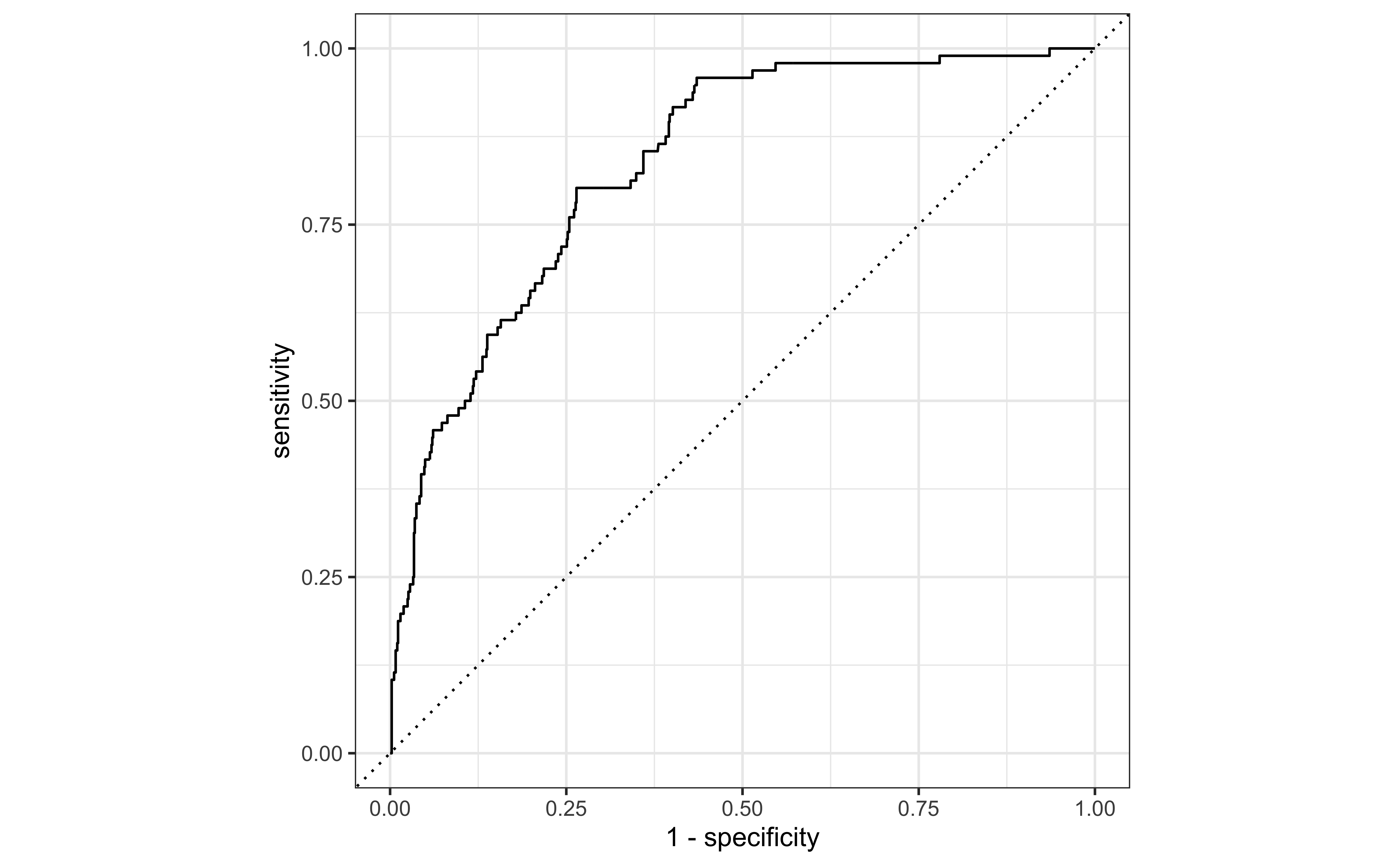
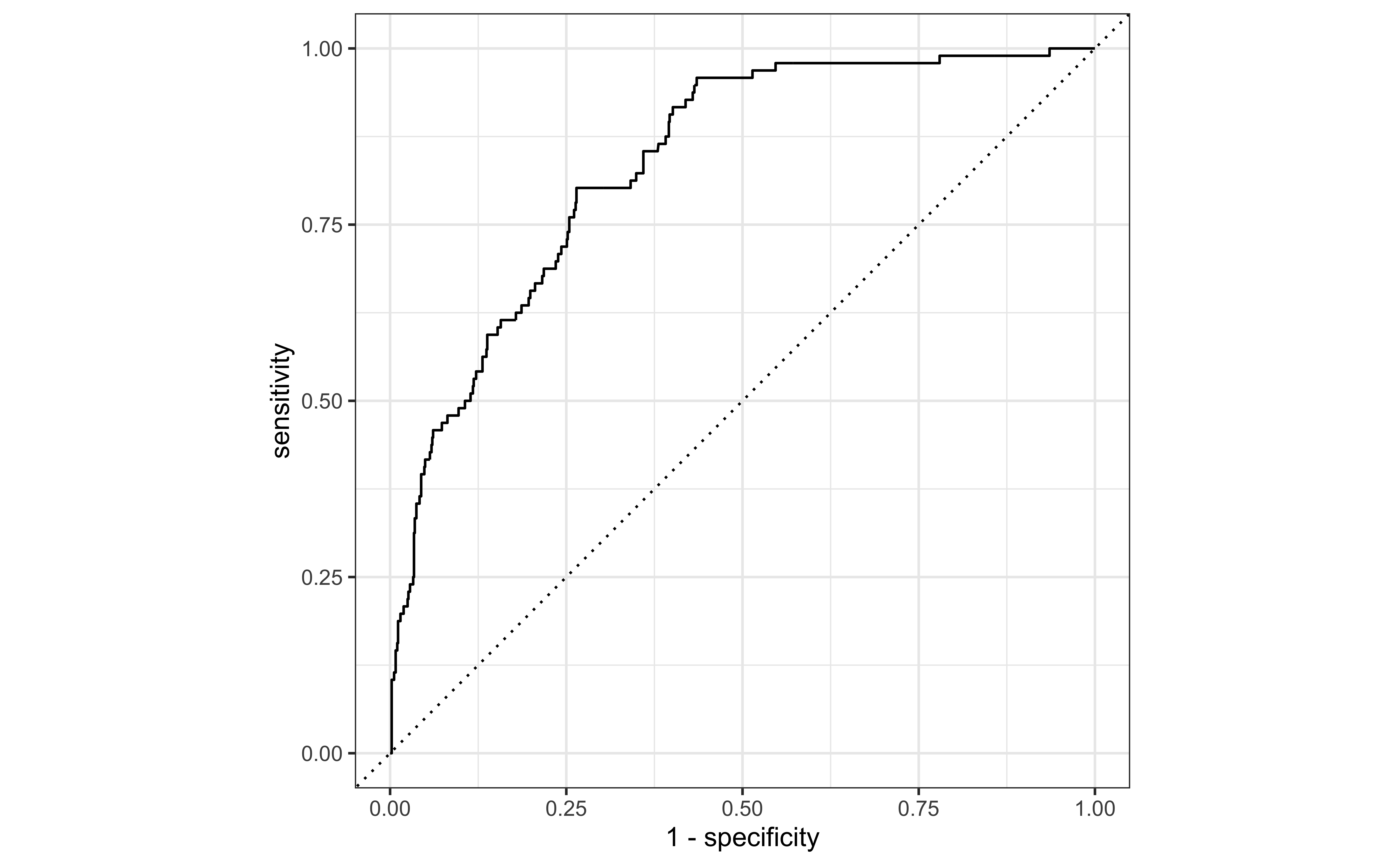
Receiver operating characteristic (ROC) curve+ plots the true positive rate (sensitivity) vs. false positive rate (1 - specificity).
# A tibble: 978 × 3
.threshold specificity sensitivity
<dbl> <dbl> <dbl>
1 -Inf 0 1
2 3.36e-10 0 1
3 2.27e- 9 0.00226 1
4 8.69e- 7 0.00339 1
5 9.89e- 7 0.00452 1
6 1.43e- 6 0.00565 1
7 9.16e- 6 0.00678 1
8 1.03e- 5 0.00791 1
9 2.58e- 5 0.00904 1
10 3.35e- 5 0.0102 1
# ℹ 968 more rows
# A tibble: 1 × 3
.metric .estimator .estimate
<chr> <chr> <dbl>
1 roc_auc binary 0.836
The area under the curve (AUC) can be used to assess how well the logistic model fits the data
AUC=0.5: model is a very bad fit (no better than a coin flip)
AUC close to 1: model is a good fit
Suppose we decide to label an email as spam if the model predicts the probability of spam to be more than 0.5.
| Email is not spam | Email is spam | |
|---|---|---|
| Email classified as not spam | 877 | 82 |
| Email classified as spam | 8 | 14 |
cutoff_prob <- 0.5
email_pred |>
mutate(
spam_pred = as_factor(if_else(.pred_1 >= cutoff_prob, 1, 0)),
spam = if_else(spam == 1, "Email is spam", "Email is not spam"),
spam_pred = if_else(spam_pred == 1, "Email classified as spam", "Email classified as not spam")
) |>
count(spam_pred, spam) |>
pivot_wider(names_from = spam, values_from = n) |>
kable(col.names = c("", "Email is not spam", "Email is spam"))Cross-tabulation of observed and predicted classes:
Suppose we decide to label an email as spam if the model predicts the probability of spam to be more than 0.25.
| Email is not spam | Email is spam | |
|---|---|---|
| Email classified as not spam | 830 | 52 |
| Email classified as spam | 55 | 44 |
cutoff_prob <- 0.25
email_pred |>
mutate(
spam_pred = as_factor(if_else(.pred_1 >= cutoff_prob, 1, 0)),
spam = if_else(spam == 1, "Email is spam", "Email is not spam"),
spam_pred = if_else(spam_pred == 1, "Email classified as spam", "Email classified as not spam")
) |>
count(spam_pred, spam) |>
pivot_wider(names_from = spam, values_from = n) |>
kable(col.names = c("", "Email is not spam", "Email is spam"))Suppose we decide to label an email as spam if the model predicts the probability of spam to be more than 0.75.
| Email is not spam | Email is spam | |
|---|---|---|
| Email classified as not spam | 883 | 89 |
| Email classified as spam | 2 | 7 |
cutoff_prob <- 0.75
email_pred |>
mutate(
spam_pred = as_factor(if_else(.pred_1 >= cutoff_prob, 1, 0)),
spam = if_else(spam == 1, "Email is spam", "Email is not spam"),
spam_pred = if_else(spam_pred == 1, "Email classified as spam", "Email classified as not spam")
) |>
count(spam_pred, spam) |>
pivot_wider(names_from = spam, values_from = n) |>
kable(col.names = c("", "Email is not spam", "Email is spam"))Use the ROC curve to determine the best cutoff probability

# A tibble: 10 × 3
.threshold specificity sensitivity
<dbl> <dbl> <dbl>
1 0.0769 0.736 0.792
2 0.0770 0.736 0.781
3 0.0780 0.737 0.781
4 0.0785 0.737 0.771
5 0.0786 0.738 0.771
6 0.0787 0.739 0.771
7 0.0789 0.739 0.760
8 0.0802 0.740 0.760
9 0.0802 0.741 0.760
10 0.0805 0.742 0.760